Wissenswertes zum Säure-Basen-Haushalt

Die Erforschung des Säure-Basen-Haushalts geht zurück bis ins 19. Jahrhundert, als Wissenschaftler anfingen, die Rolle von Säuren und Basen im Körper zu verstehen. Ein wichtiger Meilenstein war die Arbeit des schwedischen Chemikers Svante Arrhenius. 1884 stellte er die Theorie der elektrolytischen Dissoziation auf, die das Wissen über Säuren und Basen grundlegend veränderte (Kotz, 2015).

Das Gleichgewicht zwischen Säuren und Basen im Körper nennt man Säure-Basen-Gleichgewicht. Dieses Gleichgewicht im Blut wird sehr genau überwacht, da schon kleine Abweichungen vom normalen Bereich viele Organe stark beeinträchtigen können. Der Säure- oder Basengehalt einer Lösung, auch im Blut, wird mit der pH-Skala gemessen. Diese Skala reicht von 0 (stark sauer) bis 14 (stark basisch oder alkalisch). Ein pH-Wert von 7,0 ist neutral. Blut ist normalerweise leicht basisch, mit einem normalen pH-Wert zwischen 7,35 und 7,45. Der Körper hält den pH-Wert des Blutes normalerweise nahe bei 7,40.

Blut-pH-Wert

Figure 1 Ph-Werte
pH-Wert im Blut: 7,35 – 7,45 – Normbereich (Absenkung des Blut pH- Wertes innerhalb des Normbereichs – chronische, latente Azidose)

Der Körper nutzt verschiedene Mechanismen, um das Säure-Basen-Gleichgewicht im Blut zu kontrollieren. Dazu gehören die Lungen, Nieren und Puffersysteme. Ein Beispiel für einen solchen Mechanismus ist die Freisetzung von Kohlendioxid durch die Lungen. Kohlendioxid, das leicht sauer ist, entsteht als Abfallprodukt, wenn Zellen Sauerstoff und Nährstoffe verarbeiten. Dieses Kohlendioxid gelangt ins Blut und wird zu den Lungen transportiert, wo es ausgeatmet wird. Wenn sich zu viel Kohlendioxid im Blut ansammelt, sinkt der pH-Wert des Blutes und es wird saurer.

Es gibt zwei Hauptabweichungen im Säure-Basen-Gleichgewicht:

Azidose: Das Blut hat zu viel Säure (oder zu wenig Base), was den pH-Wert des Blutes senkt.

Alkalose: Das Blut hat zu viel Base (oder zu wenig Säure), was den pH-Wert des Blutes erhöht.

Azidose und Alkalose sind keine eigenständigen Krankheiten, sondern die Folge verschiedener Störungen. Eine spezielle Form ist die chronisch latente Azidose, eine dauerhafte, schleichende Übersäuerung der Körperzellen und Organe. Dabei muss der pH-Wert nicht unbedingt unter 7 liegen, um als sauer zu gelten. Es reicht schon aus, wenn die Basen, die die Säure neutralisieren sollen, aufgebraucht sind. In diesem Fall spricht man bereits von einer chronisch latenten Azidose (Worlitschek, 2015).

Der Körper reguliert den Säure-Basen-Haushalt

Der normale Zellstoffwechsel hängt davon ab, dass der Blut-pH-Wert in einem sehr engen Bereich von 7,35 bis 7,45 bleibt. Schon geringe Abweichungen ausserhalb dieses Bereichs können schädliche Auswirkungen haben, wie eine reduzierte Sauerstoffversorgung des Gewebes, Elektrolytstörungen und Veränderungen der Herzmuskelkontraktilität. Wenn der Blut-pH unter 6,8 fällt oder über 7,8 steigt, wird das Überleben schwierig (Higgins, 2004). Das Problem für den Körper ist, dass der normale Stoffwechsel ständig Wasserstoffionen (H+) und Kohlendioxid produziert, die beide den pH-Wert senken.

Symptome einer chronischen Übersäuerung sind:

  • Schnelle Ermüdung
  • Antriebslosigkeit
  • Appetitlosigkeit
  • Muskel- und Gelenkbeschwerden
  • Hautprobleme

Die Aufrechterhaltung eines normalen Blut-pH-Werts erfordert das Zusammenspiel mehrerer Organsysteme. Störungen des Säure-Basen-Gleichgewichts können den Verlauf einer Vielzahl von Krankheiten komplizieren. Der Körper verfügt über beträchtliche Fähigkeiten zur Erhaltung des Blut-pH-Werts.

Empfehlungen zur Ernährung

Das Aufrechterhalten eines normalen Blut-pH-Werts erfordert die Zusammenarbeit mehrerer Organsysteme. Störungen des Säure-Basen-Gleichgewichts können viele Krankheiten verschlimmern, aber der Körper verfügt über beeindruckende Fähigkeiten, um den pH-Wert des Blutes stabil zu halten.

Ungesunde Ernährungsgewohnheiten, chronischer Stress und übermässiger Alkoholkonsum können das Säure-Basen-Gleichgewicht stören und zu einer chronisch latenten Azidose führen. Die westliche Ernährungsweise ist oft durch eine hohe Säurelast (DAL - dietary acid load) geprägt, was auf den Verzehr grosser Mengen tierischen Eiweisses und verarbeiteter Lebensmittel zurückzuführen ist (Wieërs et al., 2024). Eine latente Azidose wird mit erhöhter Morbidität und Mortalität in Verbindung gebracht. Dem gegenüber kann eine ausgewogene Ernährung, ein gesunder Lebensstil und die Vermeidung von Risikofaktoren dazu beitragen, das Gleichgewicht des Säure-Basen-Haushalts zu unterstützen und unser Wohlbefinden zu verbessern (Siener, 2006). Wie ihr Name schon sagt, enthalten säurebildende Lebensmittel sauer wirkende Mineralien und Spurenelemente wie Schwefel oder Phosphor. Basische Lebensmittel haben dagegen einen hohen Anteil an basisch wirkenden Spurenelementen und Mineralien wie Kalium, Eisen oder Magnesium (siehe Table 1).

Table 1 Beispiele für säurebildende und basische Lebensmittel

Säurebildende LebensmittelBasische Lebensmittel
Fleisch & FischObst
Milch & Milchprodukte Gemüse
Phosphathaltige Getränke (z.B. Cola) Salat
Brot & Backwaren (Wasser, Gemüse- & Fruchtsäfte)
Nudeln & Reis Kaffee & Tee
Vollkorn

PRAL-Methode (Potential Renal Acid Load)

In der ersten Lebenshälfte kann der Körper Säureüberschüsse noch gut bewältigen. Doch in späteren Jahren, wenn die Leistungsfähigkeit der Niere als Ausscheidungsorgan für Säure nachlässt, treten häufig erste Beschwerden auf. Zur Einteilung von basischen und sauren Lebensmitteln wird das PRAL-Rechenmodell verwendet. PRAL steht für "Potential Renal Acid Load", also die potenzielle Säurebelastung der Niere, und wird in Milliäquivalenten pro 100 g Lebensmittel (mEq/100 g) angegeben. Dieses Modell gibt Aufschluss darüber, wie hoch die Säureausscheidung über die Niere beim Verzehr von 100 g eines Lebensmittels ist. Dabei berücksichtigt es die Absorptionsrate von Mikronährstoffen im Darm, deren Verstoffwechselung sowie die im Körper aus schwefelhaltigem Eiweiss entstehende Säure.

Lebensmittel mit negativen PRAL-Werten sind basenüberschüssig, da sie keine Säurebelastung hervorrufen, während positive PRAL-Werte auf säureüberschüssige Lebensmittel hinweisen. Käse, Fisch, Fleisch und Getreideprodukte haben hohe positive PRAL-Werte, weil sie Säurebildner sind. Obst und Gemüse hingegen werden basenbildend verstoffwechselt und weisen negative PRAL-Werte auf (Table 1).

Ausscheidungspflichtige Säuren entstehen beim Abbau schwefel- oder phosphorhaltiger Verbindungen. Schwefel findet sich besonders in schwefelhaltigen Aminosäuren wie Cystein und Methionin, die in tierischen Proteinen wie Fleisch, Fisch und Milchprodukten vorkommen. Phosphor ist zum Beispiel in Erfrischungsgetränken (Softdrinks) enthalten.

Die westliche Ernährungsweise ist oft durch eine hohe Säurelast geprägt. Eine ausgewogene Ernährung kann jedoch dazu beitragen, den Säure-Basen-Haushalt im Gleichgewicht zu halten. Basische Lebensmittel enthalten hohe Mengen an Kalium, Eisen oder Magnesium. Die Säurebelastung durch Lebensmittel wird im PRAL-Wert angegeben.

Anwendungsgebiete

Der physiologische pH-Wert des menschlichen Körpers ist für viele lebenswichtige Prozesse unerlässlich. Dazu gehören die Sauerstoffversorgung der Gewebe, die richtige Struktur der Proteine und zahlreiche biochemische Reaktionen, die auf einen stabilen pH-Wert angewiesen sind, um im Gleichgewicht zu bleiben und korrekt abzulaufen.

Damit Proteine ihre notwendigen Funktionen erfüllen können, müssen sie eine bestimmte Form haben. Diese Form wird durch elektrische Ladungen auf den Proteinen stabilisiert. Wenn der pH-Wert ausserhalb des physiologischen Bereichs liegt, verändern sich diese Ladungen. Dadurch können die Proteine ihre Struktur verlieren (denaturieren), was zu schädlichen Veränderungen führt und ihre Funktion beeinträchtigt (Erin Hopkins, 2022).

in ausgewogener Säure-Basen-Haushalt ist wichtig für viele lebenswichtige Prozesse im Körper. Dazu gehören die Aktivität von Enzymen, die richtige Faltung von Proteinen, die Kontraktion der Muskeln und die Funktion der Zellmembranen. Wenn der Säure-Basen-Haushalt aus dem Gleichgewicht gerät, kann dies zu verschiede-nen Gesundheitsproblemen führen.

Kardiovaskuläre Gesundheit unter Einfluss des Säure-Basen-Haushaltes

Bluthochdruck ist ein wichtiger Risikofaktor für die Herzgesundheit. Mehrere Metaanalysen mit über 62.000 Teilnehmern haben gezeigt, dass es eine signifikante, nicht-lineare Verbindung zwischen diätetischer Säurebelastung und Bluthochdruck gibt (Parohan et al., 2019; Dehghan and Abbasalizad Farhangi, 2020). Parohan konnte zudem berechnen, dass ein Anstieg der PRAL-Werte um 20 Einheiten mit einem 3% höheren Risiko für Bluthochdruck verbunden ist. Dieser Zusammenhang wurde bestätigt und erweitert, indem gezeigt wurde, dass auch Triglyceride, der Body-Mass-Index und der Taillenumfang beeinträchtigt werden (Dolati et al., 2024).

Eine hohe diätetische Säurebelastung ist mit Bluthochdruck, hohen Triglyceridwerten und einem hohen Body-Mass-Index assoziiert.

Die Rolle des Säure-Basenhaushaltes für Gewichtsmanagement

Gewichtsverlust ist eine bewährte Methode zur Reduzierung von übergewichtsassoziierten Risikofaktoren (Tahrani and Morton, 2022).

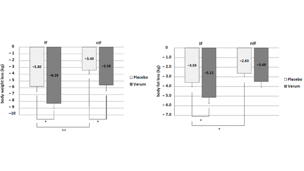
Eine klinische Studie mit 68 gesunden Probanden untersuchte die kombinierten Effekte von intermittierendem Fasten, Bewegungstraining und Basen-Supplementierung bei übergewichtigen Personen auf die Körperzusammensetzung und die Laufleistung (Hottenrott et al., 2020). Alle Probanden absolvierten ein personalisiertes Ausdauertrainingsprogramm. Zusätzlich wurden sie in zwei Gruppen unterteilt: Intervallfasten (IF) und Nicht-Intervallfasten (nIF). Ein Teil der Teilnehmer erhielt nach dem Zufallsprinzip ein Basen-Supplement.

Nach 12 Wochen wurden unter anderem Körpergewicht und Körperfett gemessen. Es zeigte sich ein signifikanter Effekt auf den Gewichtsverlust, den Verlust an Körperfett und den Verlust an viszeralem Fett in allen Gruppen (p < 0,01). Die alkalische Supplementierung verstärkte den Gewichtsverlust bei beiden Ernährungsstrategien weiter.

Signifikante Unterschiede im Körpergewichtsverlust und Körperfettverlust

Figure 2 Signifikante Unterschiede im Körpergewichtsverlust und Körperfettverlust in IF und nIF sowie Placebo und alkalische Supplementierungsgruppe (verum). * p < 0,05; ** p < 0,01.(Hottenrott et al., 2020)

Darüber hinaus zeigt eine Metaanalyse, dass eine höhere diätetische Säurebelastung, gemessen an hohen PRAL-Werten, sowohl mit höheren Triglyceridkonzentrationen als auch mit einer höheren Prävalenz von Fettleibigkeit verbunden ist. In den höchsten Kategorien war das Risiko für erhöhte Triglyceride um 30 % und für Fettleibigkeit um 27 % höher im Vergleich zu den niedrigsten Kategorien (Abbasalizad Farhangi et al., 2019).

Eine Reduzierung der diätetischen Säurebelastung könnte eine nützliche präventive Strategie gegen Fettlei-bigkeit und Stoffwechselstörungen sein. Hohe diätetische Säurebelastung erhöht möglicherweise die Serum-triglyceride und die Prävalenz von Fettleibigkeit bei Erwachsenen.

Der Zusammenhang zwischen Säure-Basen-Haushalt und Nierenbeschwerden

Auch für die Nieren ist ein gesunder Säure-Basen-Haushalt wichtig. Eine Meta-Analyse von neun Beobachtungsstudien ergab, dass eine hohe diätetische Säurebelastung signifikant mit einem erhöhten Risiko für chronische Nierenerkrankungen verbunden ist (Mofrad et al., 2021). Zudem kann eine erhöhte diätetische Säurebelastung den Urin-pH-Wert signifikant senken.

Eine hohe diätetische Säurebelastung kann das Risiko für Nierenerkrankungen erhöhen.

Welche Bedeutung spielt der Säure-Basen-Haushalt für den Sportler?

Basische Nahrungsergänzungsmittel enthalten oft basische Mineralien sowie andere Inhaltsstoffe wie Zitronensäure und können eine Übersäuerung des Körpers ausgleichen. Eine solche Übersäuerung ist unter anderem gekennzeichnet durch den Verlust von Flüssigkeit und basischen Mineralien sowie eine gesteigerte Säureproduktion durch erhöhte Kohlenhydrat- und Fettverbrennung, was die Säurebelastung erhöht. Hottenrott et al. konnten zeigen, dass eine Basensupplementierung die Laufleistung von Probanden unter einem speziellen Trainingsprogramm und Intervallfasten weiter steigern kann (Hottenrott et al., 2020) (siehe Fehler! Verweisquelle konnte nicht gefunden werden.).

Figure 3

Figure 3 Signifikante Unterschiede im Körpergewichtsverlust und Körperfettverlust in IF und nIF sowie Placebo und alkalische Supplementierungsgruppe (verum). * p < 0,05; ** p < 0,01.(Hottenrott et al., 2020)

Es gibt Hinweise, dass eine Supplementierung mit Basenpräparaten, zusammen mit anderen Massnahmen, die Laufleistung unterstützen kann.

Worauf ist bei einer Supplementierung zu achten

Die Rolle der oralen Zufuhr von Zitronensäure (Citrat) für den Säure-Basen-Haushalt ist ein interessantes Thema. Citrat ist eine Form von Zitronensäure, die in verschiedenen Lebensmitteln vorkommt und auch als Nahrungsergänzungsmittel erhältlich ist. Beim Säure-Basen-Haushalt ist das Gleichgewicht zwischen sauren und basischen Verbindungen im Körper wichtig, um eine optimale Gesundheit zu erhalten.

Citrat kann helfen, den Säuregehalt im Körper zu regulieren, indem es als Puffer wirkt. Ein Puffer ist eine Substanz, die Veränderungen im pH-Wert abfedert, indem sie sowohl Säuren als auch Basen neutralisiert. Zum Beispiel kann die Einnahme von Citrat bei Nierensteinen helfen, überschüssige Säuren zu neutralisieren und den pH-Wert im Blut und in anderen Körperflüssigkeiten stabil zu halten. Insbesondere Kaliumcitrat kann die Bildung von Harnsäuresteinen verringern, die durch eine Übersäuerung des Harns entstehen können

 (Song L, 2020). Es wird angenommen, dass Citrat die Kristallbildung und -aggregation hemmt, was das Risiko von Nierensteinen reduzieren kann (Meschi et al., 2004). Es ist jedoch wichtig zu beachten, dass die Einnahme von Citrat als Nahrungsergänzungsmittel oder durch den Verzehr von Lebensmitteln, die reich an Citrat sind, nicht die einzige Lösung für einen ausgeglichenen Säure-Basen-Haushalt ist. Eine ausgewogene Ernährung mit viel Obst und Gemüse kann ebenfalls dazu beitragen, den pH-Wert im Körper zu regulieren.

Sicher und einfach verfügbar

Diese Nahrungsergänzungsmittel sind im Allgemeinen gut verträglich. Bevor man jedoch mit der Einnahme von Basenpräparaten beginnt, sollte man mit einem Arzt sprechen, um sicherzustellen, dass es für die individuelle Gesundheit geeignet ist und keine unerwünschten Nebenwirkungen verursachen.

Viele Basenpulver enthalten Hydrogencarbonat. Die verwendeten Mengen an Hydrogencarbonat können in seltenen Fällen Nebenwirkungen wie Völlegefühl, Aufstossen und Blähungen hervorrufen (Mehner, 2016).

Basische Nahrungsergänzungsmittel sind im Allgemeinen gut verträglich. Es ist jedoch ratsam, vor der Ein-nahme einen Arzt oder eine andere Fachperson zu konsultieren.

Literatur

Abbasalizad Farhangi, M., Nikniaz, L., and Nikniaz, Z. (2019). Higher dietary acid load potentially increases serum triglyceride and obesity prevalence in adults: An updated systematic review and meta-analysis. PLoS One 14(5), e0216547. doi: 10.1371/journal.pone.0216547.

 

Dehghan, P., and Abbasalizad Farhangi, M. (2020). Dietary acid load, blood pressure, fasting blood sugar and biomarkers of insulin resistance among adults: Findings from an updated systematic review and meta-analysis. International Journal of Clinical Practice 74(4), e13471. doi: https://doi.org/10.1111/ijcp.13471.

 

Dolati, S., Razmjouei, S., Alizadeh, M., Faghfouri, A.H., and Moridpour, A.H. (2024). A high dietary acid load can potentially exacerbate cardiometabolic risk factors: An updated systematic review and meta-analysis of observational studies. Nutr Metab Cardiovasc Dis 34(3), 569-580. doi: 10.1016/j.numecd.2024.01.013.

 

Erin Hopkins, E.S., T.; Sharma, S. (2022). Physiology, Acid Base Balance [Online]. StatPearls Pulishing. Available: https://www.ncbi.nlm.nih.gov/books/NBK507807/ [Accessed 2024].

 

Higgins, C. (2004). An introduction to acid-base balance in health and disease [Online]. Acutecaretesting.org. Available: https://acutecaretesting.org/en/articles/an-introduction-to-acidbase-balance-in-health-and-disease [Accessed 2024].

 

Hottenrott, K., Werner, T., Hottenrott, L., Meyer, T.P., and Vormann, J. (2020). Exercise Training, Intermittent Fasting and Alkaline Supplementation as an Effective Strategy for Body Weight Loss: A 12-Week Placebo-Controlled Double-Blind Intervention with Overweight Subjects. Life (Basel) 10(5). doi: 10.3390/life10050074.

 

Kotz, J.C., P. M. Treichel, J. R. Townsend, and D. A. Treichel (2015). "Acids and Bases: The Arrhenius Definition," in Chemistry and Chemical Reactivity, Instructor's Edition. 9th ed (Stamford: Cengage Learning).

 

Mehner, K. (2016). Basentabs & Co bei Säure-Überschuss [Online]. Available: http://www.gesundheit.de/ernaehrung/saeure-und-basen-gleichgewicht/saeure-basen-haushalt/basentabs-und-basenpulver [Accessed 2024].

 

Meschi, T., Maggiore, U., Fiaccadori, E., Schianchi, T., Bosi, S., Adorni, G., et al. (2004). The effect of fruits and vegetables on urinary stone risk factors. Kidney Int 66(6), 2402-2410. doi: 10.1111/j.1523-1755.2004.66029.x.

 

Mofrad, M.D., Daneshzad, E., and Azadbakht, L. (2021). Dietary acid load, kidney function and risk of chronic kidney disease: A systematic review and meta-analysis of observational studies. Int J Vitam Nutr Res 91(3-4), 343-355. doi: 10.1024/0300-9831/a000584.

 

Parohan, M., Sadeghi, A., Nasiri, M., Maleki, V., Khodadost, M., Pirouzi, A., et al. (2019). Dietary acid load and risk of hypertension: A systematic review and dose-response meta-analysis of observational studies. Nutr Metab Cardiovasc Dis 29(7), 665-675. doi: 10.1016/j.numecd.2019.03.009.

 

Siener, R. (2006). Einfluss der Ernährung auf den Säure-Basen-Haushalt. Ernährungsumschau 53, 168-173.

 

Song L, M.N. (2020). "Nephrolithiasis," ed. A.B. Feingold KR, Blackman MR, et al.: Endotext).

Tahrani, A.A., and Morton, J. (2022). Benefits of weight loss of 10% or more in patients with overweight or obesity: A review. Obesity (Silver Spring) 30(4), 802-840. doi: 10.1002/oby.23371.

 

Wieërs, M., Beynon-Cobb, B., Visser, W.J., and Attaye, I. (2024). Dietary acid load in health and disease. Pflugers Arch 476(4), 427-443. doi: 10.1007/s00424-024-02910-7.

 

Worlitschek, M. (2015). Die latente Azidose und Gelenkerkrankungen. Erfahrungsheilkunde 64(1), 28-32. doi: 10.1055/s-0034-1395832.